? 枢纽炎(Arthritis)
? 肌萎缩性脊髓侧索硬化症(Amyotrophic Lateral Sclerosis, ALS)
? 银屑。≒soriasis)
? 特应性皮炎(Atopic Dermatitis, AD)
? 炎症性肠。↖nflammatory Bowel Disease, IBD)
01 胶原诱导的枢纽炎模子
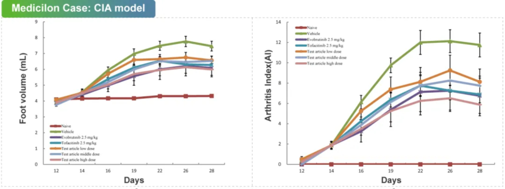
类风湿性枢纽炎(Rheumatoid Arthritis, RA)动物模子关于研究体内RA的发病机制和评价抗RA药物的疗效至关主要。
胶原诱导的枢纽炎(Collagen Induced Arthritis, CIA)与人类类风湿枢纽炎具有配合的免疫学和病理学特征,,因此被普遍应用于致病机理和新药药效的研究。Ⅱ型胶原卵白(CⅡ)能够免疫诱导易感啮齿动物和非人灵长类动物体内爆发枢纽炎性子的自身免疫反映。
别的,,CIA的易感性也与RA相似,,和主要组织相容性复合体(Major Hhistocompatibility Complex, MHC)的Ⅱ类分子有关。免疫反映的特点是::刺激胶原特异性T细胞,,爆发针对性免疫抗原(异源CⅡ)和自身抗原(小鼠或大鼠CⅡ)的高滴度特异性抗体。
02 完全弗氏佐剂诱导的枢纽炎模子
类风湿性枢纽炎(RA)是一种慢性举行性的炎症性枢纽炎。完全弗氏佐剂(Complete Freund’s Adjuvant, CFA)诱导的枢纽炎模子能够体现出伴有全身性改变的持续性炎症,,以及滑膜增生、、、角膜翼、、、耳部和尾部泛起“枢纽炎”结节等,,与人类枢纽炎有多种相似之处,,因此是一个很是适适用于发病机理的研究和新药药效评价的模子。
CFA是由石蜡油和二缩甘露醇一油酸与热灭活结核分枝杆菌混淆而成的混淆乳液,,在啮齿类动物的爪部皮下注射或腹腔注射,,从而诱导动物多器官的免疫炎症反映。
CFA诱导的大鼠枢纽炎(Adjuvant Induced Arthritis, AIA)应用普遍,,对研究炎症历程的病理、、、心理和药理作用,,以及评估药物的镇痛潜力或抗炎作用具有主要意义。
03 尿酸钠诱导的痛风性枢纽炎模子
痛风性枢纽炎(Gouty Arthritis, GA)的主要特征是::尿酸钠(Monosodium Urate, MSU)晶体在枢纽周围组织沉积,,刺激枢纽,,引起枢纽滑膜及周围组织病损及炎症反映。临床中,,痛风的发病陪同着枢纽周围组织或枢纽的触痛、、、红斑、、、发红、、、肿胀、、、疼痛和发热。
现在,,GA爆发与缓解的详细机制尚未明确,,但研究职员普遍以为,,枢纽部位析出的MSU晶体是造成痛风性枢纽炎的要害化学物质。MSU晶体能够诱发自身免疫及炎症反映,,国际上常被用于诱导急性痛风性枢纽炎模子,,已被普遍应用于药理、、、药效等方面的研究。
04 实验性自身免疫性脑脊髓炎模子
多发性硬化症(Multiple Sclerosis, MS)是一种中枢神经系统(Central Nervous System, CNS)的炎症性疾病,,实验性自身免疫性脑脊髓炎(Experimental autoimmune encephalomyelitis, EAE)是MS最常见的动物模子之一。
MS导致的免疫系统攻击会使髓鞘受损,,滋扰神经传导,,进而导致一系列症状,,包括视力受损、、、肌肉无力、、、协调能力缺失和认知功效障碍。其特征是神经炎症及陪同的脱髓鞘和轴突变性。
在EAE小鼠模子中,,通过诱导自身免疫反映,,使得T细胞和单核细胞浸润进入中枢神经系统,,导致轴突的去髓鞘化,,进而引起神经传导障碍和举行性后肢瘫痪,,能够模拟MS的病理特征与疾病希望。
别的,,EAE常被用作细胞介导的器官特异性自身免疫疾病模子。EAE还具有重大的神经药理学,,许多用于MS药物都是在EAE模子的基础上开发、、、测试、、、验证的。
05 咪喹莫特诱导的银屑病模子
银屑病是一种慢性炎症性皮肤病,,与自身免疫功效杂乱等多种诱因有关。银屑病会导致皮肤因素的改变,,现在普遍以为银屑病是一种免疫细胞及免疫相关细胞配合介导的炎症性皮肤病。
咪喹莫特(Imiquimod, IMQ)诱导的小鼠模子是受到普遍认可的银屑病类动物模子之一。IMQ是Toll样受体(TLR)7/8的配体。由于TLRs漫衍于巨噬细胞、、、单核细胞和浆细胞样树突细胞(pDC)上,,因此IMQ能够强烈激活免疫系统。局部使用IMQ可诱导银屑病,,能够较好地模拟人类银屑病样的皮损体现,,并一定程度地保存与银屑病相似的固有免疫和获得性免疫杂乱,,可用于研究银屑病潜在机制和评估新疗法。
06 IL-23诱导的小鼠耳廓银屑病模子
IL-23(白细胞介素-23)是一种异源二聚体细胞因子,,由p19亚基(IL-23独吞)和p40亚基(与IL-12共享)通过二硫键毗连形成。IL-23/Th17通路是银屑病的主要致病通路。IL-23能够增进Th17细胞的分化,,爆发IL-17A、、、IL-17F及IL-22等细胞因子,,从而导致角质形成细胞异常分化和炎症。其中,,IL-23/IL-17A通路在银屑病中起着至关主要的作用。
IL-23注射模子的优势在于使用简单细胞因子,,并且这种细胞因子在银屑病中引发炎症的作用已获得证实。经皮内注射IL-23可以诱导小鼠爆发银屑病样皮肤病变,,建设便捷且本钱较低,,被普遍用于人类银屑病研究。
07 佛波酯诱导的急性湿疹样模子
特应性皮炎(Atopic Dermatitis, AD)的诱因重大多样,,其临床体现包括皮肤干燥、、、湿疹样皮损(包括红斑、、、渗透和结痂、、、苔藓样变等)以及强烈瘙痒等等。如不加以控制,,这些炎症反映可能会转变为更难以解决的疾病。
现在,,糖皮质激素、、、非甾体抗炎药等是控制炎症的首选。但类固醇药物使用不当,,会陪统一定程度的副作用。以是,,开发治疗炎症的新要领具有主要的临床意义。
在筛选潜在抗炎药物时,,佛波酯诱导的小鼠模子可以较好地还原炎症反映,,常被用于研究抗炎药物在无菌性炎症中的药效。别的,,佛波酯也常用于建设急性湿疹样模子。
08 DNFB诱导的亚急性湿疹样模子
在特应性皮炎(AD)研究中,,科研职员曾实验通过粉尘螨(Dermatophagoides farinae, Df/Derf)作为过敏原建设AD小鼠模子。但在BALB/c小鼠身上表皮涂抹Df提取物(DfE)并没有诱导泛起典范的皮损反映。
2,4-二硝基氟苯(Dinitrofluorobenzene, DNFB)是一种能导致小鼠接触性皮炎的常见单体,,能与皮肤组织卵白连系成为完全抗原,,激活T淋巴细胞,,引发过敏反映。DNFB引发的皮肤功效障碍可能是增强DfE对小鼠皮肤影响的一种要领。
交替使用DNFB和Df刺激皮肤,,可诱导BALB/c小鼠爆发与人类AD相似的Th2型皮肤炎症。这种模子对研究AD的发病机制和开发新型治疗药物很有价值。
09 DNFB诱导的慢性特应性皮炎模子
DNFB常被用来建设小鼠特应性皮炎(AD)模子,,随着造模历程呈现皮肤干燥脱屑、、、红斑等慢性改变,,与人类AD皮损转变相似。
通过DNFB重复刺激可以建设慢性特应性皮炎模子,,诱导AD样皮炎、、、组织学转变以及表皮屏障功效障碍,,研究强烈瘙痒和复发性皮损等问题。
10 TNBS诱导的大鼠溃疡性结肠炎模子
炎症性肠。↖nflammatory bowel disease, IBD)是一种慢性肠道炎症性疾病,,包括克罗恩。–rohn's Disease, CD)和溃疡性结肠炎(Ulcerative Colitis, UC),,现在发病机制尚不明确,,主要与免疫系统异、、、大宗细胞浸润有关,,包括CD4+ T淋巴细胞、、、肥大细胞、、、中性粒细胞和嗜酸性粒细胞数目增添。这些免疫反映会引起炎症、、、溃疡、、、水肿、、、腹泻(黏液便和/或脓血便)、、、发热和胃肠蠕动障碍。临床还没有针对IBD的药物,,现在的主要治疗要领是延缓疾病希望。
IBD动物模子能够体现出人类CD和UC的某些病/心理特征,,包括体重减轻和腹泻,,伴有血便和/或粘液便、、、发热、、、结肠缩短、、、隐窝异、、、胃蠕动障碍和炎症细胞浸润等。
2,4,6-三硝基苯磺酸(TNBS)诱导的模子适用于小鼠和大鼠。TNBS大鼠溃疡性结肠炎是一种以CD4+ T淋巴细胞浸润为特征的Th1型炎症,,与人类CD和UC具有相同的特征。
11 葡聚糖硫酸钠诱导的小鼠溃疡性结肠炎模子
葡聚糖硫酸钠(Dextran sulphate sodium, DSS)是一种水溶性、、、带负电荷、、、分子量可变的硫酸化多糖。由于DSS对结肠上皮细胞有毒性,,可能导致粘膜屏障功效受损,,因此给小鼠饮用DSS可以引起类似人类克隆恩氏病的全结肠病症。
DSS结肠炎模子经济、、、轻盈,,可大宗重复建设,,在IBD研究中很是盛行。通过改变DSS的浓度和饮用频率,,可以建设急性、、、慢性和复发性肠炎模子。
参考文献::
[1] Jing Luan, et al. Applicability and implementation of the collagen-induced arthritis mouse model, including protocols (Review). Exp Ther Med. 2021 Sep;22(3):939. doi: 10.3892/etm.2021.10371.
[2] Xin Cui, et al. Evaluation of antiarthritic activity of nimbolide against Freund's adjuvant induced arthritis in rats. Artif Cells Nanomed Biotechnol. 2019 Dec;47(1):3391-3398. doi: 10.1080/21691401.2019.1649269.
[3] Su-Hyun Shin, et al. 1-Palmitoyl-2-Linoleoyl-3-Acetyl-rac-Glycerol (PLAG) Mitigates Monosodium Urate (MSU)-Induced Acute Gouty Inflammation in BALB/c Mice. Front Immunol. 2020 Apr 24:11:710. doi: 10.3389/fimmu.2020.00710.
[4] Cris S Constantinescu, et al. Experimental autoimmune encephalomyelitis (EAE) as a model for multiple sclerosis (MS). Br J Pharmacol. 2011 Oct;164(4):1079-106. doi: 10.1111/j.1476-5381.2011.01302.x.
[5] Leslie van der Fits, et al. Imiquimod-induced psoriasis-like skin inflammation in mice is mediated via the IL-23/IL-17 axis. J Immunol. 2009 May 1;182(9):5836-45. doi: 10.4049/jimmunol.0802999.
[6] Shujing Feng, et al. An Atopic Dermatitis-Like Mouse Model by Alternate Epicutaneous Application of Dinitrofluorobenzene and an Extract of Dermatophagoides Farinae. Front Med (Lausanne). 2022 Jun 15:9:843230. doi: 10.3389/fmed.2022.843230.
[7] Benoit Chassaing, et al. Dextran sulfate sodium (DSS)-induced colitis in mice. Curr Protoc Immunol. 2014 Feb 4:104:15.25.1-15.25.14. doi: 10.1002/0471142735.im1525s104.